(一)直线回归方程式(linear regression equation)的计算《预防医学》

(一)直线回归方程式(linear regression equation)的计算

直线回归方程的通式为:

=a+bX 公式(22.3)

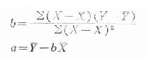
式中Y为自由变量X推算因变量Y的估计值,a为回归直线在Y轴上的截距,即X=0时的Y值;b为样本回归系数(regression coefficient),即回归直线的斜率(slope或称坡度),表示当X变动一个单位时,Y平均变动b个单位。如果已知a与b,用以代入公式(22.3),即可求得直线回归方程。求a和b的公式分别为:

公式(22.4)

公式(22.5)

对样本中两个变量分析,不但可作相关分析,还可进一步作直线回归分析。仍以表22-1为示范,该例经过直线相关分析,r=0.6097,两变量间有直线关系,从相关系数计算时,已求得:

Σ(X-x)(Y-Y)=41.2000

Σ(X-x)2=677.4194

而Y=ΣY/n=99.2/31=3.2000

x=ΣY/n=534/31=17.2258

代入公式(22.4)

b=41.2000/677.4194=0.0608

代入公式(22.5)

a=3.2000-0.0608×17.2258=2.1527

代入公式(22.3)

=2.1527+0.0608X

上一页:二、回归分析(regression analysis)
当前页:(一)直线回归方程式(linear regression equation)的计算
下一页:(二)样本回归系数的假设检验

返回目录