§2 一阶偏微分方程

一、        柯西-柯娃列夫斯卡娅定理

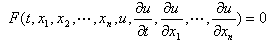
    [一阶偏微分方程的通解一阶偏微分方程的一般形式*

,其中

如解出p1,可得:

p1 = f (x1 , x2 ,, xn , u , p2 ,, pn )

    当方程的解包含某些“任意元素”(指函数),如果适当选取“任意元素”时,可得方程的任意解(某些“奇异解”除外),则称这样的解为通解.

    在偏微分方程的研究中,重点在于确定方程在一些附加条件(即定解条件)下的解,而不在于求通解.

    [一阶方程的柯西问题]

称为柯西问题,式中为已知函数,对柯西问题有如下的存在惟一性定理.

    [柯西-柯娃列夫斯卡娅定理]    f ( x1 , x2 xn , u , p2  pn ) 在点 ( x10 , x20  xn0 , u0 , p20  pn0 ) 的某一邻域内解析,而在点( x20 xn0 ) 的某邻域内解析,则柯西问题在点 ( x10  xn0 ) 的某一邻域内存在着惟一的解析解.

    这个定理应用的局限性较大,因它要求f及初始条件都是解析函数,一般的定解问题未必能满足这种条件.

    对高阶方程也有类似定理.



* 在有些书中写作