3.函数级数的运算及其条件
|  
         运 算  | 
       
         表 达 式  | 
       
         条 件  | 
    
|  
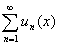
         级数和的连续性  | 
       
         
  | 
       
         (i) (ii)  | 
    
|  
         逐项相加减  | 
       
         
 = (a≤x≤b)  | 
       
         
  | 
    
|  
         相乘  | 
       
         
  = 其中       (a≤x≤b)  | 
       
         
  | 
    
|  
         逐项取极限  | 
       
         
  =  (a≤  | 
       
         (i)   (ii)   | 
    
|  
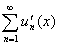
         逐项微分  | 
       
         
 (a≤x≤b)  | 
       
         (i)  而且有连续的导数 (ii)  (iii)  | 
    
|  
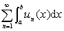
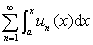
         逐项积分  | 
       
         
 = 
 = 对于[a,b]上的一切点x一致成立  | 
       
         (i)  (ii)   |