| 三、确定正常值范围的方法 | 《医学统计学》 |
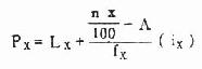
三、确定正常值范围的方法1.百分位数法。本法根据正常人样本数据,按照选定的百分范围计算相应的百分位数作为正常值范围的界值。可根据原始数据直接计算,亦可根据频数表进行计算。计算步骤为: (1)按已确定的百分范围从表5.1查得应计算的百分位数; (2)计算出各百分位数的所在位置; (3)代入公式计算界限Px 表5.1 估计正常值范围的计算项目
例5.2 某地测得200例健康成人的血铅值(微克/100克)得频数分布如下,试估计单侧95%上限。 (1)查表5.1,百分范围95,百分位数法,单侧上限应求P95。 (2)求P95的位置200×0.95=190即为第190个数据处,因此知A=188,Lx=35,fx=4,ix=5。 代入公式(4.5) 表5.2 百分位数法计算单侧上限(200例健康成人的血铅值)
健康成人血铅值的95%正常值上限为37.5微克/100克。 若根据原始资料计算,已算得Px的位置为第190个数据后,将原始数据从大至小排,第10个数据的值即为Px。 此法的优点是不拘资料的分布类型,计算简便,样本含量较大,分布较稳定时结果稳定。但估计结果受样本极差的限制,受两侧尾部数据的影响较大,尤其是百分范围较大(如大于95%)。样本含量不够在时,结果不够稳定。 2.正态分布法。正态分布法运用正态曲线下面积与μ±μασ的关系来估计数值范围的。在图5.2中曾提到μ±1.96σ的范围内包含了曲线下总面积的95%,亦就是总例数的95%。在此范围外则有2.5%的例数其数据值大于μ±1.96σ,另2.5%小于μ-1.96σ。因此,就可用μ±1.96σ来估计双侧95%的正常值范围。同理可用μ与相应的μασ 估计所需百分范围,μ可从附表2查得。但在实际中μ与σ常常是不知道的,只能用它们的估计值X与S 来代替。估计正常值范围时常用的百分范围与相应的X±us见表5.1。用正态分布法估 计正常值范围的公式为 X±uαs (5.4) 例5.3 测得西安市7岁男童102人坐高,X=66.72,S=2.08,试用正态分布法估计 双侧95%正常值范围。 查表5.1,百分范围95,正态分布法双侧,应求X±1.96S。 代入公式(5.4) 66.72±1.96×2.08=(62.6432,70.7968) 西安市7岁男童坐高的95%正常值范围为62.6~70.08公分。 此法适用于正态分布资料,样本均数和标准差比较稳定者,其优点是结果稳定,受两端尾部数据影响较小,也不受样本数据极差的限制,缺点是只适用于正态分布资料。医学上不少资料呈偏态分布,但计算较繁。
| |||||||||||||||||||||||||||||||||||||||||||||||||||||||||||||||||||||||||||||||||||