| (一)生产环境监测(environmental monitoring) | 《预防医学》 | 
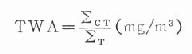
(一)生产环境监测(environmental monitoring)是识别、评价职业有害因素的一个重要依据。其目的是①掌握生产环境中职业危害的性质、种类、强度(浓度)及其在时间、空间的分布状况,为评价职业环境是否符合卫生标准提供依据。②为研究接触水平-反应关系提供基础资料。③鉴定预防措施的效果等。为此应根据生产实际情况及监测目的建立定期监测制度及卫生档案制度。如以粉尘为例,可根据一个工作班中工人不同活动点、多次采样测定的每个点的平均浓度(C)有工人在该点逗留时间(T),计算出时间加权平均浓度(time-weighted average,TWA)以了解工人的接触粉尘情况。 
 
  | 
返回目录  |