| 二、1:1配比病例对照资料分析 | 《预防医学》 | 
二、1:1配比病例对照资料分析在病例对照研究中,常常应用配比方法,即将病例与对照按1:1或1:R配成对,在调查或分析时均将此一组病例和对照作为一组而不要拆开。配比对照的目的是排除混杂因素的影响。 (一)资料整理构架 将资料按下列格式整理(表29-4)。 (二)显着性检验 检验暴露史是否与疾病有联系。 表29-4 配比病例对照研究资料整理构架 
 
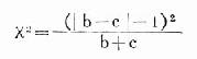
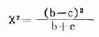
 其校正公式为 
 自由度=1 (三)计算比值比OR OR=c/b 公式(29.6) (四)计算比值比的可信限 
 实例Sartwell等研究了美国口服避孕药与妇女患血栓栓塞的关系。共调查了175对病例与对照。对象是在1964~1968年从五个美国城市选择的15~44岁妇女,并以1:1配对方法选择对照。然后调查她们在入院前一个月内是否使用避孕药,其调查结果见表29-5。 表29-5 口服避孕药史与血栓栓塞关系的配对研究 
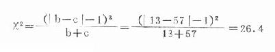
 1.X2检验 
 自由度=1P<0.001 2.计算比值比OR OR=c/d=57/13=4.4 3.计算OR95%可信限 
 故OR95%可信限为2.5~7.6 以上结果说明,所研究的美国某种避孕药暴露史与妇女患血栓栓塞有联系。其比值比95%可信限为2.5~7.6。 
  | |||||||||||||||||||||||||||||||||||||||
返回目录  |