§3 平面上的直线

    一、平面上直线的方程与图形

[斜截式]

 

 

 

 

 

k为斜率.若直线与x轴的交角为a ,则,这里0£ a < p .

b为纵截距

[截距式]

a,b分别为x轴,y轴上的截距.

该直线通过A(a, 0)B(0, b)两点.

x轴的交角

[点斜式]

 

k为斜率

该直线通过点M(x0, y0),与x轴的交角

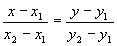
[两点式]

该直线通过M1(x1, y1)M2(x2, y2)两点,

x轴的交角

[一般式]

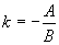
(A, B, C为常数,A, B不同时为零)

 

斜率

纵截距

[]一般方程可根据需要化成上面四种形式

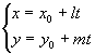
[参数式]

(-∞< t <∞)

斜率

该直线通过点M(x0, y0)x轴的交角为a

[极坐标式]

O为极点,Ox为极轴,p为极点到该直线的距离.a 为极轴与从极点引到直线的垂线之间的夹角(逆时针方向为正),j 为该直线上任一点M的极角,rM点的矢径

[法线式]

p为法线长(原点O到直线的垂线长)b 为法线与x轴的交角,p, b 称为直线的位置参数.

[]直线一般式可化为法线式

式中称为直线的法化因子,当C< 0 (C=0B> 0)时,取正号;当C> 0 (C=0B< 0)时,取负号

[矢量式]

 

该直线通过矢径r0的终点,且与已知矢量a平行

[复数式]

(a)

 

(b)

(a) 直线通过点z0,并与x轴的交角为a

 

 

 

 

(b) 直线通过z1z2两点(t为实参数)