文本框:  
         图    3.2
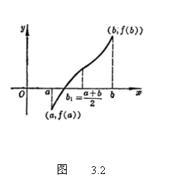
二、二分法

假定f(x)[a,b]上连续,且f(a)f(b)<0(这里假定f(a)<0,f(b)>0,取区间[a,b]的中点,若=0,则f(x)=0的根是ξ=.不然,若>0,则令a1=a,b1=;若<0,则令a1=,b1=b.于是形成新区间[a1,b1],它包含f(x)=0的根ξ(图3.2.

再取[a1,b1]的中点,若=0,则ξ=.>0,则令a2=a1,b2=;若<0,则令a2=,b2=b1.于是又形成新区间[a2,b2],其长度等于,它包含方程f(x)=0的根ξ.…若允许误差ε=,则按这个过程作出区间[a1,b1], [a2,b2], [a3,b3],L, [an,bn],n=[x]表示x的整数部分),于是

ξ*=

是方程f(x)=0的近似根,误差不超过

|ξ-ξ*|££

       二分法是求实根的近似计算中行之有效的最简单的方法,它只要求函数是连续的,因此它的使用范围很广,并便于在电子计算机上实现.但是它不能求重根,也不能求虚根.