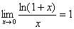
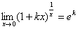
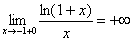
4.一些重要函数的极限
|  
         函数与图形  | 
       
         极限与特征  | 
    
|  
            | 
       
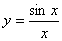
         曲线关于y轴对称  极限 
  [注]  | 
    
|  
         
 
  | 
       
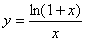
         曲线关于y轴对称  极限     | 
    
|  
         
 
  | 
       
         渐近线 y=e和x=-1  极 限 
                [注]   | 
    
|  
         
 
  | 
       
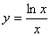
         极小点   极 限 
           [注]   | 
    
|  
         
 
  | 
       
          极大点 A(e, 
            拐 点 
          B( 渐近线 y=0和x=0  极 限 
             [注]   | 
    
|  
         
 
  
         
           
  | 
       
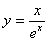
         渐近线 y=0和x=-1  极 限 
                | 
    
|  
         
  
         
           
  | 
       
         与y轴交点O(0,0),该点切线斜率为1  极大点 A(1,  拐 点 
          B(2, 渐近线 y=0  极 限 
              [注]     | 
    
|  
         
 
  | 
       
         曲线由两支组成 不连续点 x=0 渐近线 y=x+1  极 限      | 
    
|  
         
 
  | 
       
         不连续点 x=0 渐近线 y=1和x=0  极 限 
                |