
4.椭圆各量计算公式
 
 
| 
 椭圆各量  | 
 计 算 公 式  | 
||
| 
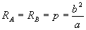
 [曲率半径] R  | 
 
 式中r1, r2为焦点半径, p为焦点参数, a 为点M(x, y)的焦点半径与切线的夹角.特别, 顶点的曲率半径 
		  | 
||
| 
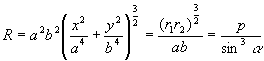
 [弧长]       | 
         
 式中e为离心率  | 
||
| 
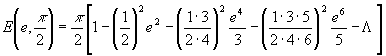
 [周长] L  | 
 
 式中,	  设 	  | 
||
| 
 [面积] S  | 
         扇形(OAM)面积		  弓形(MAN)面积		 椭 圆 面 积 S = p ab  | 
||
| 
 [几何重心] G  | 
 椭 圆 形 G与O重合 半椭圆形	 (a, b为椭圆的半轴长)  | 
 	  | 
|
| 
 [转动惯量] J  | 
 椭圆的转轴通过b轴 	 式中m为质量  | 
            | 
|