6.高阶等差级数
设有一数列
a1, a2, L , an, L (1)
如果接连地从它的后一项减去前一项,那末就得到原数列(1)的第一次差构成的数列
a2-a1, a3-a2, L , an-an-1, L (2)
再接连地将(2)的后一项减去前一项,又得到数列(1)的第二次差构成的数列.依次类推:
a1 a2 a3 a4 L
第一次差 d1=Da1 Da2 Da3 L
第二次差 d2=D2a1 D2a2 L
第三次差 d3=D3a1 L
L L
式中				![]()
如果做了r次,数列(1)的每个第r次差都相等,那末以后各次差都等于零,则称数列(1)为r阶等差数列.与这样的数列相应的级数称为r阶等差级数.一阶等差级数也就是通常的算术级数.
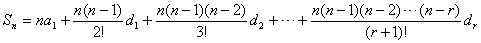
设(1)是r阶等差数列,并设d1为(1)的第一次差构成的数列的首项,d2为(1)的第二次差构成的数列的首项,...,dr为(1)的第r次差构成的数列的首项,则有
通项公式 (n>r)
![]()
前n项和
![]()