info prev up next book cdrom email home

Trigonometry Values Pi/17

Rather surprisingly, trigonometric functions of $n\pi/17$ for $n$ an integer can be expressed in terms of sums, products, and finite root extractions because 17 is a Fermat Prime. This makes the Heptadecagon a Constructible, as first proved by Gauß. Although Gauss did not actually explicitly provide a construction, he did derive the trigonometric formulas below using a series of intermediate variables from which the final expressions were then built up.


Let

$\displaystyle \epsilon$ $\textstyle \equiv$ $\displaystyle \sqrt{17+\sqrt{17}}$  
$\displaystyle \epsilon^*$ $\textstyle \equiv$ $\displaystyle \sqrt{17-\sqrt{17}}$  
$\displaystyle \alpha$ $\textstyle \equiv$ $\displaystyle \sqrt{\sqrt{34}+6\sqrt{17}+(\sqrt{34}-\sqrt{2}\,)\epsilon^*-8\sqrt{2}\,\epsilon}\,$  
$\displaystyle \beta$ $\textstyle \equiv$ $\displaystyle 2\sqrt{17+3\sqrt{17}-2\sqrt{2}\,\epsilon-\sqrt{2}\,\epsilon^*}\,.$  

Then

$\sin\left({\pi\over 17}\right)= {\textstyle{1\over 8}}[34-2\sqrt{17}-2\sqrt{2}\...
...{68+12\sqrt{17}+2\sqrt{2}(\sqrt{17}-1)\epsilon^*-16\sqrt{2}\,\epsilon}\,]^{1/2}$
$\qquad \approx 0.18375$
$\cos\left({\pi\over 17}\right)= {\textstyle{1\over 8}}[30+2\sqrt{17}+2\sqrt{2}\...
...{68+12\sqrt{17}+2\sqrt{2}(\sqrt{17}-1)\epsilon^*-16\sqrt{2}\,\epsilon}\,]^{1/2}$
$\qquad \approx 0.98297$
$\sin\left({2\pi\over 17}\right)= {\textstyle{1\over 16}}[136-8\sqrt{17}+4\sqrt{2}(1-\sqrt{17})\epsilon^*+16\sqrt{2}\,\epsilon$
$ +2(\sqrt{2}-\sqrt{34}-2\epsilon^*)\sqrt{34+6\sqrt{17}+(\sqrt{34}-\sqrt{2})\epsilon^*-8\sqrt{2}\epsilon}\,]^{1/2}$
$\qquad \approx 0.36124$
$\cos\left({2\pi\over 17}\right)= {\textstyle{1\over 16}}[-1+\sqrt{17}+\sqrt{2}\...
...sqrt{68+12\sqrt{17}-2\sqrt{2}(1-\sqrt{17}\,)\epsilon^*-16\sqrt{2}\,\epsilon}\,]$
$\qquad \approx 0.93247$
$\sin\left({4\pi\over 17}\right)= {\textstyle{1\over 128}}(-\sqrt{2}+\sqrt{34}+2\epsilon^*+2\alpha)$
$ \times\sqrt{68-4\sqrt{17}-2(\sqrt{34}-\sqrt{2}\,)\epsilon^*+8\sqrt{2}\,\epsilon+\alpha(\sqrt{2}-\sqrt{34}-2\epsilon^*)}$
$\qquad \approx 0.67370$
$\sin\left({8\pi\over 17}\right)= {\textstyle{1\over 16}}[136-8\sqrt{17}+8\sqrt{...
...\sqrt{34}-3\sqrt{2})\epsilon^*-2\beta(1-\sqrt{17}-\sqrt{2} \epsilon^*)\,]^{1/2}$
$\qquad \approx 0.99573$
$\cos\left({8\pi\over 17}\right)= {\textstyle{1\over 16}}(-1+\sqrt{17}+\sqrt{2}\,\epsilon^*-2\sqrt{17+3\sqrt{17}-\sqrt{2}\,\epsilon^*-2\sqrt{2}\,\epsilon}\,).$
$\qquad \approx 0.09227$

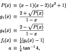
There are some interesting analytic formulas involving the trigonometric functions of $n\pi/17$. Define

\begin{eqnarray*}
P(x)&\equiv&(x-1)(x-2)(x^2+1)\\
g_1(x)&\equiv& {2+\sqrt{P(x...
...r 4}}[g_i(x)-1]\\
a&\equiv& {\textstyle{1\over 4}}\tan^{-1} 4,
\end{eqnarray*}



where $i=1$ or 4. Then
$\displaystyle f_1(\tan a)$ $\textstyle =$ $\displaystyle \cos\left({2\pi\over 17}\right)$  
$\displaystyle f_4(\tan a)$ $\textstyle =$ $\displaystyle \cos\left({8\pi\over 17}\right).$  

See also Constructible Polygon, Fermat Prime, Heptadecagon


References

Casey, J. Plane Trigonometry. Dublin: Hodges, Figgis, & Co., p. 220, 1888.

Conway, J. H. and Guy, R. K. The Book of Numbers. New York: Springer-Verlag, pp. 192-194 and 229-230, 1996.

Dörrie, H. ``The Regular Heptadecagon.'' §37 in 100 Great Problems of Elementary Mathematics: Their History and Solutions. New York: Dover, pp. 177-184, 1965.

Ore, Ø. Number Theory and Its History. New York: Dover, 1988.

Smith, D. E. A Source Book in Mathematics. New York: Dover, p. 348, 1994.



info prev up next book cdrom email home

© 1996-9 Eric W. Weisstein
1999-05-26